Contoh Hikayat Untuk Sma

Contoh hikayat untuk smart, contoh hikayat untuk small, contoh hikayat untuk smallworlds, contoh hikayat untuk smartphones, contoh untuk menjaga nama baik sekolah, contoh untuk design baju t shirt, contoh untuk membuat jual toko pedia, contoh untuk flowchart penjualan, contoh untuk perjalanan tour religi, contoh untuk grafik vicat, contoh untuk tema isra miraj, contoh untuk rack spice, contoh untuk undangan untuk anak sekolah minggu, contoh hikayat singkat, contoh hikayat abu nawas, contoh contoh hikayat, contoh hikayat lama, contoh hikayat beserta unsurnya, contoh hikayat 1001 malam, contoh hikayat terkenal,


Contoh Surat Komplain Dalam Bahasa Inggris Yang Singkat via googglet.com
Contoh surat komplain dalam bahasa inggris yang singkat

Cover+sambutan13 Contoh Cover Sambutan Wali Kelas Untuk via www.pinterest.com
Cover+sambutan13 Contoh Cover Sambutan Wali Kelas untuk

Contoh Hikayat Untuk Sma - J K A T L V via jkatlv.blogspot.com
Contoh Hikayat Untuk Sma - J K A T L V

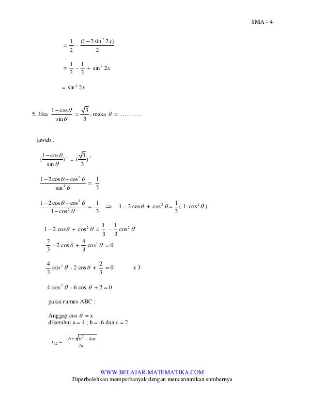
Contoh Contoh Soal Dan Pembahasan Trigonometri Untuk Sma via www.slideshare.net
Contoh contoh soal dan pembahasan trigonometri untuk sma

Contoh Contoh-soal-dan-pembahasan-trigonometri-untuk-sma via www.slideshare.net
Contoh contoh-soal-dan-pembahasan-trigonometri-untuk-sma

Contoh Contoh Soal Dan Pembahasan Trigonometri Untuk Sma via www.slideshare.net
Contoh contoh soal dan pembahasan trigonometri untuk sma

Contoh Announcement Untuk Acara Sekolah - Contoh Z via contohz.blogspot.com
Contoh Announcement Untuk Acara Sekolah - Contoh Z

Perancangan Strategik Untuk Sekolah (contoh) via ml.scribd.com
Perancangan Strategik Untuk Sekolah (contoh)

Contoh Hikayat Dan Nilai Yang Terkandung - Contoh Raffa via contohraffa.blogspot.com
Contoh Hikayat Dan Nilai Yang Terkandung - Contoh Raffa

Guitertitof - Pidato Kepala Sekolah Perpisahan Sekolah via guitertitof.fr.gd
Guitertitof - Pidato kepala sekolah perpisahan sekolah

Contoh Program Kerja Sekolah Kurikulum 2013 Untuk Tk Sd via www.infoguru.info
Contoh Program Kerja Sekolah Kurikulum 2013 Untuk TK SD

Contoh Contoh Soal Dan Pembahasan Trigonometri Untuk Sma via www.slideshare.net
Contoh contoh soal dan pembahasan trigonometri untuk sma

Contoh Contoh-soal-dan-pembahasan-trigonometri-untuk-sma via www.slideshare.net
Contoh contoh-soal-dan-pembahasan-trigonometri-untuk-sma

Contoh Contoh-soal-dan-pembahasan-trigonometri-untuk-sma via www.slideshare.net
Contoh contoh-soal-dan-pembahasan-trigonometri-untuk-sma

Contoh Contoh-soal-dan-pembahasan-trigonometri-untuk-sma via www.slideshare.net
Contoh contoh-soal-dan-pembahasan-trigonometri-untuk-sma

Contoh Surat Tidak Masuk Sekolah Untuk Smk Kotasurat.com via kotasurat.com
Contoh Surat Tidak Masuk Sekolah Untuk Smk  Kotasurat.com

Contoh Surat Tidak Masuk Sekolah Untuk Smk Kotasurat.com via kotasurat.com
Contoh Surat Tidak Masuk Sekolah Untuk Smk  Kotasurat.com

Contoh Invitation Formal Untuk Kepala Sekolah Images via stopboris.org
Contoh Invitation Formal Untuk Kepala Sekolah Images

Contoh Soal Ukg 2015 Untuk Kepala Sekolah via www.slideshare.net
Contoh soal ukg 2015 untuk kepala sekolah

Contoh Sk Sekolah Aman Untuk Kelengkapan Berkas Dapodik via liputanpendidikan.blogspot.com
Contoh SK Sekolah Aman Untuk Kelengkapan Berkas Dapodik

Contoh Soal Hikayat Dan Jawaban - Inventors Day via inventors-day.blogspot.com
Contoh Soal Hikayat Dan Jawaban - Inventors Day

Contoh Surat Visa - Usb Cable Sale via usbcablesale.blogspot.com
Contoh Surat Visa - USB Cable Sale

Contoh Soal Soal Integral Dan Pembahasannya via es.slideshare.net
Contoh soal soal integral dan pembahasannya

Contoh Surat Undangan Lomba Untuk Sekolah. 28 Contoh Surat via chapal.us
Contoh Surat Undangan Lomba Untuk Sekolah. 28 Contoh Surat

Contoh Soal Ukg 2015 Untuk Kepala Sekolah via www.slideshare.net
Contoh soal ukg 2015 untuk kepala sekolah


Random Image


https://fotobadutt.blogspot.com


Related Posts To Contoh Hikayat Untuk Sma


Contoh Hikayat Untuk Sma Rating: 4.5 Posted by: Miko

Search Here

Popular Posts

Total Pageviews

Recent Posts